Dúvidas, comentários e doações:
+55 62 9 8513 2505
Convidado
Convidado
Convidado
Criar Uma Conta
Acessar Minha Conta
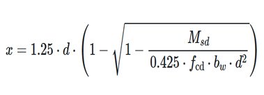
Tabela Kc e Ks Viga Concreto Armado Flexão Simples Seção Retangular Armadura Simples C20 a C50
Página Inicial
Calculadoras
Concreto Armado - Vigas
Tabela Kc e Ks Viga Concreto Armado Flexão Simples Seção Retangular Armadura Simples C20 a C50
Outros usuários estão vendo
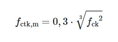
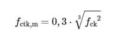
Concreto - Calculadora de Resistência Média, Inferior e Superior à Tração do Concreto
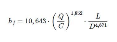
Tabela de Perdas de Cargas Localizadas - Equivalência em metros de tubulação de PVC rígido ou cobre - Projetos Hidrossanitários
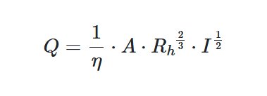
Hidrologia - Calculadora de Vazão pelo Método Racional
Concreto Armado - Vigas - Calculadora de Viga Biapoiada Apoios Fixo e Móvel Carga Uniformemente Distribuída
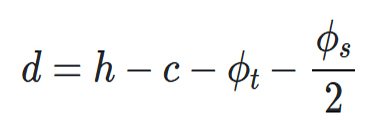
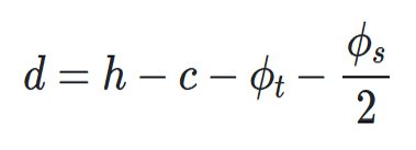
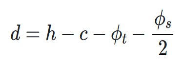
Calculadora de Momento de Fissuração Mr Vigas de Concreto Armado Seção Retangular - Concreto Armado - Vigas
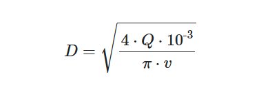
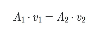
Calculadora de Diâmetro de Tubulações de Água Fria e Quente a Partir da Vazão e da Velocidade - Projetos Hidrossanitários
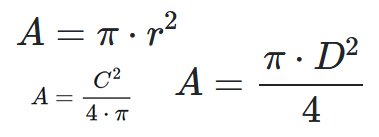
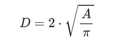
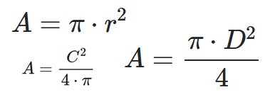
Geometria - Áreas - Calculadora de Diâmetro, Circunferência e Raio a partir da Área do Círculo
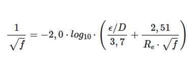
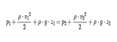
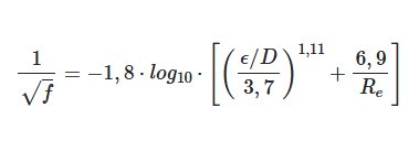
Calculadora de Fator de Atrito Equação de Haaland - Hidráulica - Condutos Forçados
Concreto Armado - Vigas - Calculadora de Momento Fletor Mínimo Vigas de Concreto Armado