Calculadora de Área do Círculo
Calcular Área do Círculo
Informe os parâmetros necessários abaixo.
Fórmulas para o Cálculo da Área do Círculo
Calcular a área do círculo a partir do seu raio
O raio é a distância do centro do círculo até qualquer ponto na borda. Dessa forma, se tivermos o raio, a área do círculo pode ser calculada pela seguinte fórmula:
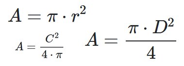
\[A = \pi \cdot r^2 \]Onde:
r é o raio do círculo.
Calcular a área do círculo a partir do seu diâmetro
O diâmetro de um círculo é duas vezes o seu raio. Em outras palavras, se você tiver o raio de um círculo, pode encontrar o diâmetro multiplicando-o por 2. Assim, se tivermos o diâmetro, a área do círculo pode ser calculada pela seguinte fórmula:
\[A = \frac{\pi \cdot D^2}{4} \]Onde:
D é o diâmetro do círculo.
Calcular a área do círculo a partir de sua circunferência
A circunferência de um círculo é o seu contorno, ou seja, o seu perímetro. Se tivermos a circunferência, a área do círculo pode ser calculada pela seguinte fórmula:
\[A = \frac{C^2}{4 \cdot \pi} \]Onde:
C é a circunferência do círculo.
