Calculadora de Força Cortante Resistente de Cálculo VRd2 - Compressão Diagonal do Concreto - Cálculo de Estribos
Calcular Força Cortante Resistente de Cálculo VRd2 - Compressão Diagonal do Concreto - Cálculo de Estribos
Informe os parâmetros necessários abaixo e veja o resultado no painel à direita.
Observações sobre a Força Cortante Resistente de Cálculo VRd2 - Compressão Diagonal do Concreto
A força VRd2 no dimensionamento de estribos é a força cortante resistente de cálculo relativa à ruína (esmagamento) das bielas comprimidas de concreto. Ela verifica se a seção transversal da viga e o concreto são fortes o suficiente para evitar a falha por compressão diagonal antes de dimensionar os estribos (VRd3).
Pontos-chave sobre a força VRd2:
- Finalidade: Garante que a biela de concreto inclinado (o modelo de treliça) não será esmagada pelo esforço cortante.
- Verificação: Deve-se garantir que a força cortante solicitante VSd seja menor que a força cortante resistente VRd2 (VSd ≤ VRd2).
- Consequência de falha: Se VSd > VRd2, o concreto falha por esmagamento. A solução é aumentar a seção da viga (bw ou d) ou o fck (resistência do concreto), e não aumentar o aço.
- Cálculo: Segundo a NBR 6118, a fórmula considera a resistência do concreto, a largura da viga (bw), altura útil (d) e o ângulo das bielas (30º a 40º).
No dimensionamento de vigas de concreto armado à força cortante, ou seja,
aos esforços de cisalhamento, nós adotamos, de acordo com recomendações da
ABNT NBR 6118 (Projeto de estruturas de concreto armado), o modelo de treliça
clássica de Ritter-Mörsh, na qual é suposto que uma carga aplicada num ponto
qualquer de uma viga de concreto armado, chegue até os apoios percorrendo o
caminho de uma treliça. Recordemos ainda que na treliça clássica de Ritter-Mörsh
o ângulo de inclinação das bielas comprimidas é igual à 45°.
Neste modelo de treliça, a compressão do banzo superior é resistida pelo concreto,
enquanto a tração do banzo inferior é resistida pelo aço. As diagonais tracionadas
também são resistidas pelo concreto, cabendo ao aço (estribos) o papel de reforçar as
diagonais tracionadas. Notem que usei "reforçar", pois o concreto oferece
também uma parcela de resistência à tração nestas diagonais.
Sendo assim, um dos primeiros passos no cálculo e detalhamento das armaduras transversais, ou seja, a armadura de cisalhamento de uma viga de concreto armado, é a verificação da compressão diagonal do concreto. Neste passo nós verificamos se as bielas comprimidas resistem ao esforço cortante solicitante de projeto VSd.
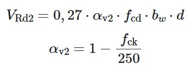
A verificação da compressão diagonal do concreto no Modelo I (no qual o ângulo α, que é o ângulo entre os estribos e o eixo longitudinal da viga, pode ser considerado entre 45º e 90º) pode ser realizada por meio da seguinte fórmula:
\[V_\text{Rd2} = 0,27 \cdot \alpha_\text{v2} \cdot f_\text{cd} \cdot b_w \cdot d \]
Onde:
fcd é a resistência de cálculo do concreto, em kN/cm2;
bw é a largura da viga, em centímetros;
d é a altura útil da viga em centímetros;
Já o αv2 pode ser calculado pela seguinte fórmula:
\[\alpha_\text{v2} = 1 - \frac{f_\text{ck}}{250}\]
Onde:
fck é a resistência característica do concreto, em Mpa.
Adquira a Planilha Automática em Excel para o cálculo da Força Cortante Resistente de Cálculo VRd2
Além de poder usar de forma gratuíta a nossa Calculadora Online de Cálculo da Força Cortante Resistente de Cálculo VRd2 Vigas de Concreto Armado - Dimensionamento de Estribos, você pode também adquirir a Planilha Automática em Excel para o Cálculo da Força Cortante Resistente de Cálculo VRd2 Vigas de Concreto Armado, e modificá-la da forma que desejar.
Se você trabalha com dimensionamento estrutural, sabe que calcular corretamente a Força Cortante Resistente de Cálculo VRd2 em vigas de concreto armado é essencial para garantir segurança e economia no projeto. Pensando nisso, desenvolvemos uma planilha automática em Excel + VBA que torna esse processo rápido, preciso e totalmente confiável.
Com poucos dados de entrada, a planilha calcula automaticamente o valor de VRd2, aplicando os critérios da ABNT NBR 6118 e auxiliando você na tomada de decisão sobre a necessidade e dimensionamento dos estribos.
Por que adquirir essa planilha?
- Cálculo automático do VRd2 conforme a norma.
- Redução de erros em contas manuais.
- Agilidade no dimensionamento estrutural.
- Aplicação direta em projetos reais.
- Interface simples e intuitiva.
- Padronização dos seus cálculos.
Ganho real no seu dia a dia
- Menos tempo com cálculos repetitivos.
- Mais foco na análise e no projeto.
- Mais segurança nos resultados.
Ideal tanto para:
- Engenheiros civis que querem produtividade.
- Estudantes de engenharia que querem aprender na prática.
Por ser desenvolvida em Excel com VBA, você não precisa de softwares complexos - tudo roda de forma leve, rápida e acessível.
Se você quer ganhar tempo, reduzir erros e elevar o nível dos seus projetos, essa planilha é a ferramenta certa para você.
Invista em eficiência e leve seu dimensionamento estrutural para outro nível.

