Calculadora de Viga em Balanço Biapoiada Apoios Fixo e Móvel Carga Uniformemente Distribuída
Calcular Viga em Balanço Biapoiada Apoios Fixo e Móvel Carga Uniformemente Distribuída
Informe os parâmetros necessários abaixo e veja o resultado no painel à direita.
Sobre a nossa calculadora de Viga em Balanço Biapoiada Apoios Fixo e Móvel Carga Uniformemente Distribuída
Bem-vindo(a) à nossa Calculadora de Viga em Balanço Biapoiada Apoios Fixo e Móvel Carga
Uniformemente Distribuída.
Nosso objetivo ao construir essa ferramenta foi facilitar o entendimento
desse tipo de estrutura por parte dos estudantes de Engenharia Civil e também auxiliar
os cálculos de profissionais que já atuam na área.
Como usar?
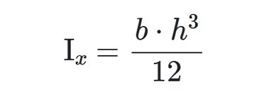
Comece informando as dimensões da viga em centímetros. Ao fazê-lo, nossa ferramenta já conseguirá desenhar a seção transveral da viga e também o cálculo do Momento de Inércia de Área I da seção, um requisito obrigatório para o cálculo da deformação da viga.
Em seguida informe a carga linear em kN/m que incidirá sobre a viga. Em geral essas cargas lineares envolvem o peso da parede, uma fração do peso da laje, o peso próprio da viga, etc. Nossa Calculadora de Peso da Parede por Metro Linear poderá ser útil neste cálculo.
O passo seguinte é informar o comprimento da viga em metros. Essa informação possibilitará à ferramenta desenhar o diagrama de corpo livre da viga, assim como efetuar os cálculos de momento, de cisalhamento e deformação.
Informe o ponto de interesse (em metros) para saber o momento, cisalhamento e deformação em pontos específicos da viga.
Por fim, informe o Módulo de Elasticidade ou Módulo de Young E (em MPa) do material escolhido. Veja nossa Calculadora de Módulo de Elasticidade Tangente Inicial do Concreto
