Calculadora de Resistência de Cálculo à Tração do Concreto fctd
Calcular Resistência de Cálculo à Tração do Concreto fctd
Informe os parâmetros necessários abaixo e veja o resultado no painel à direita.
Como calcular a Resistência de Cálculo à Tração do Concreto
A resistência de cálculo à tração do concreto é um parâmetro utilizado em análise e dimensionamento estrutural que representa a capacidade do concreto de suportar esforços de tração de forma segura, já considerando coeficientes normativos de segurança.
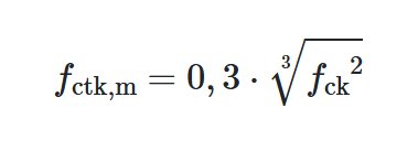
A fórmula para o cálculo da Resistência de Cálculo à Tração do Concreto pode ser definida como:
\[f_\text{ctd} = \frac{f_\text{ctk,inf}}{\gamma_c} \]Onde:
fctd é a resistência de cálculo à tração do concreto em Mpa;
fctk,inf é a resistência à tração inferior do concreto em Mpa;
γc é o coeficiente de segurança do concreto (minoração de
resistência).
Adquira a Planilha Automática em Excel para o cálculo da Resistência de Cálculo à Tração do Concreto Fctd
Além de poder usar de forma gratuíta a nossa Calculadora Online de Cálculo da Resistência de Cálculo à Tração do Concreto fctd, você pode também adquirir a Planilha Automática em Excel para o Cálculo da Resistência de Cálculo à Tração do Concreto, e modificá-la da forma que desejar.
Se você é engenheiro civil ou estudante e busca mais segurança, agilidade e precisão no dimensionamento de estruturas, a nossa Planilha Automática em Excel para o Cálculo da Resistência de Cálculo à Tração do Concreto é a ferramenta que faltava na sua rotina.
A resistência à tração do concreto é um parâmetro essencial para verificações de fissuração, aderência e desempenho estrutural. Com a nossa planilha, você realiza esses cálculos de forma rápida, padronizada e em total conformidade com a NBR 6118, eliminando dúvidas e reduzindo o risco de erros comuns em processos manuais.
Pensada tanto para profissionais quanto para estudantes, a ferramenta oferece interface simples e intuitiva, permitindo que você insira poucos dados e obtenha resultados completos em segundos. Isso significa mais tempo para focar na análise e no aprendizado, e menos tempo perdido com cálculos repetitivos.
Além disso, a planilha permite simulações rápidas, ajudando você a entender melhor o comportamento do concreto sob diferentes condições - um grande diferencial tanto na prática profissional quanto na formação acadêmica.
Para quem está começando, é uma forma de aprender com mais clareza e confiança. Para quem já atua no mercado, é um ganho direto em produtividade e qualidade.
Invista em uma ferramenta que valoriza seu tempo, aumenta sua precisão e eleva o nível dos seus projetos! Adquira agora a sua planilha.

