Calculadora de Velocidade em Tubulações de Água Fria e Quente a Partir da Vazão e do Diâmetro dos Tubos
Calcular Velocidade em Tubulações de Água Fria e Quente a Partir da Vazão e do Diâmetro dos Tubos
Insira as informações solicitadas e observe o resultado no painel à direita.
Fórmula da Velocidade a Partir da Vazão e do Diâmetro dos Tubos
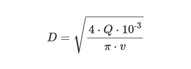
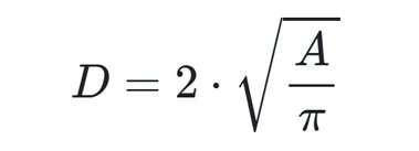
A fórmula para calcular a velocidade da água (v) em instalações hidráulicas residenciais, a partir da vazão (Q) e do diâmetro interno da tubulação (D) pode ser formulada da seguinte forma:
\[v = \frac{4 \cdot Q \cdot 10^3}{\pi \cdot D^2} \] Onde:v = velocidade do fluido em m/s (metros por segundo);
Q = vazão a ser considerada na tubulação, em L/s (litros por segundo);
D = diâmetro interno da tubulação em mm (milímetros).
Adquira a Planilha Automática em Excel para o cálculo da Velocidade em Tubulações de Água Fria e Quente a Partir da Vazão e do Diâmetro dos Tubos
Além de poder usar de forma gratuíta a nossa Calculadora Online de Cálculo da Velocidade em Tubulações de Água Fria e Quente a Partir da Vazão e do Diâmetro dos Tubos, você pode também adquirir a Planilha Automática em Excel para o Cálculo da Velocidade em Tubulações de Água Fria e Quente a Partir da Vazão e do Diâmetro dos Tubos, e modificá-la da forma que desejar. Fizemos uma combinação de código Excel + VBA que vai te dar várias ideias interessantes para a criação de novas planilhas.
Se você trabalha com projetos hidráulicos, sabe que calcular a velocidade em tubulações pode consumir tempo e estar sujeito a erros quando feito manualmente. Pensando nisso, desenvolvemos uma planilha automática em Excel + VBA que transforma esse processo em algo rápido, preciso e totalmente confiável.
Com base na relação fundamental entre vazão, diâmetro e velocidade, a planilha realiza todos os cálculos instantaneamente, eliminando retrabalho e aumentando sua produtividade no dia a dia.
Entre as principais vantagens, você vai encontrar:
- Agilidade nos cálculos – resultados imediatos a partir da vazão e do diâmetro
- Redução de erros - fórmulas automatizadas e padronizadas
- Interface simples e intuitiva - fácil de usar, mesmo para quem não domina Excel avançado
- Aplicação prática - ideal para sistemas de água fria e quente
- Economia de tempo - mais foco no projeto e menos em contas repetitivas
- Profissionalismo - mais segurança na tomada de decisões e dimensionamentos
Além disso, por ser desenvolvida em Excel com VBA, a planilha permite automatizações inteligentes, garantindo eficiência sem a necessidade de softwares complexos.
É a ferramenta ideal para engenheiros, técnicos e estudantes que buscam precisão, praticidade e produtividade no dimensionamento hidráulico.
Adquira agora sua planilha e leve mais precisão, agilidade e inovação para seus projetos de engenharia estrutural!

