Calculadora de Kc Viga Concreto Armado
Calcular Kc Viga Concreto Armado
Informe os parâmetros necessários abaixo e veja o resultado no painel à direita.
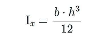
Fórmula do Cálculo do Kc para vigas de concreto armado
Saber calcular o Kc é essencial para usar a Tabela Kc e Ks Viga Concreto Armado Flexão Simples Seção Retangular Armadura Simples C20 a C50.
Sua fórmula é:
\[K_c = \frac{b_w \cdot d^2}{M_d} \]Onde
bw é a largura da viga em cm;
d é a altura útil da viga em cm. Veja
nossa Calculadora de Altura Útil d e d' da Viga;
Md é o Momento Fletor de Projeto, que deverá entrar
na fórmula em kN.cm. Veja nossa Calculadora de Viga Biapoiada Apoios Fixo e Móvel Carga Uniformemente Distribuída.
