Calculadora de Momento Fletor Mínimo Vigas de Concreto Armado Md,min
Calcular Momento Fletor Mínimo Vigas de Concreto Armado Md,min
Informe os parâmetros necessários abaixo e veja os resultados no painel à direita.
Visualização
Fórmula do Cálculo do Momento Fletor Mínimo Vigas de Concreto Armado Md,min
O Momento Fletor Mínimo em vigas de concreto armado (usual em normas brasileiras como a ABNT NBR 6118) é um momento mínimo de cálculo que deve ser considerado mesmo quando a combinação de carregamentos reais resulta em momento muito pequeno. Ele é indicado normalmente como Md,min.
Em outras palavras, mesmo que a carga resulte em momento quase zero, a viga não pode ser dimensionada sem armadura ou com armadura insuficiente.
O Momento Fletor Mínimo Vigas de Concreto Armado Md,min pode ser calculado por meio da seguinte fórmula:
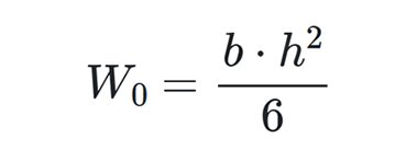
\[M_\text{d,min} = 0,8 \cdot W_0 \cdot f_\text{ctk,sup} \]Onde
W0 é o Módulo de Resistência da seção transversal da viga em
relação à sua parte mais tracionada. Este módulo pode ser calculado na
nossa Calculadora de Módulo de Resistência Transversal W0 Vigas Seção Retangular;
fctk,sup é a resistência à tração superior do concreto em Mpa. Esta
resistência pode ser calculada na nossa Calculadora de Resistência Média, Inferior e Superior à Tração do Concreto.
Adquira a Planilha Automática em Excel para o cálculo do Momento Fletor Mínimo Vigas de Concreto Armado Md,min
Além de poder usar de forma gratuíta a nossa Calculadora Online do Momento Fletor Mínimo Vigas de Concreto Armado Md,min, você pode também adquirir a Planilha Automática em Excel para o Cálculo do Momento Fletor Mínimo Vigas de Concreto Armado Md,min, e modificá-la da forma que desejar.
Se você é engenheiro civil ou estudante de engenharia civil e busca mais precisão, agilidade e confiança no dimensionamento estrutural, a nossa Planilha em Excel para o cálculo do Momento Fletor Mínimo (Md,min) de vigas de concreto armado é a ferramenta ideal para elevar o nível dos seus projetos.
O cálculo do momento fletor mínimo é essencial para garantir que a viga possua armadura adequada, evitando comportamentos frágeis e assegurando o desempenho estrutural conforme as exigências normativas. Com a nossa planilha, você realiza esse processo de forma rápida, automatizada e em conformidade com a NBR 6118, eliminando incertezas e reduzindo erros comuns em cálculos manuais.
Desenvolvida para o dia a dia da engenharia, a ferramenta permite inserir os dados básicos da seção e obter instantaneamente o valor do Md,min, com organização, clareza e padronização. Além disso, possibilita simulações rápidas, ajudando você a analisar diferentes cenários e tomar decisões mais eficientes no projeto.
Para estudantes, é uma excelente aliada no aprendizado, tornando os conceitos mais práticos e compreensíveis. Para profissionais, representa ganho de produtividade, segurança e qualidade técnica.
Em um mercado cada vez mais competitivo, quem trabalha com ferramentas inteligentes sai na frente.
Adquira agora sua planilha e leve mais eficiência, confiabilidade e profissionalismo para seus projetos estruturais!

