Calculadora de Armadura Transversal Mínima Vigas de Concreto Armado NBR 6118
Calcular Armadura Transversal Mínima Vigas de Concreto Armado NBR 6118
Informe os parâmetros necessários abaixo.
Sobre o cálculo da Armadura Transversal Mínima Vigas de Concreto Armado NBR 6118
A Armadura Transversal Mínima em vigas de concreto armado, segundo a ABNT NBR 6118, é a quantidade mínima de estribos que deve ser obrigatoriamente adotada na viga, mesmo quando o esforço cortante calculado é baixo.
A armadura transversal mínima representa um limite inferior de armadura transversal para garantir que a viga tenha comportamento dúctil, resistência após a fissuração e segurança contra ruptura frágil por cisalhamento.
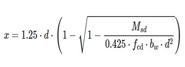
A área de aço da Armadura Transversal Mínima em vigas de concreto armado pode ser calculada pela seguinte fórmula:
\[\frac{A_\text{sw,min}}{S} = 0,2 \cdot \frac{f_\text{ctk,m}}{f_\text{ywk}} \cdot b_w\]Onde:
Asw,min é a área de aço da armadura transversal mínima, em cm2/m;
S é espaçamento a ser considerado para o cálculo, geralmente 100 cm;
fctk,m é a resistência à tração média do concreto, que deverá
entrar na fórmula em kN/cm2;
fywk é a resistência característica ao escoamento do aço
transversal (estribos), que deverá entrar na fórmula em kN/cm2;
bw é a largura da viga, em cm.
A armadura transversal mínima é obrigatória? Sim, mesmo quando o cálculo indica que não seria necessário estribo, a norma exige a armadura mínima porque o concreto fissura naturalmente, há imperfeições construtivas e ocorre redistribuição de esforços.
Sem a armadura transversal mínima a ruptura por cisalhamento pode ser súbita e sem aviso.
Adquira a Planilha Automática em Excel para o cálculo da Armadura Transversal Mínima Vigas de Concreto Armado NBR 6118
Além de poder usar de forma gratuíta a nossa Calculadora Online de Cálculo da Armadura Transversal Mínima Vigas de Concreto Armado NBR 6118, você pode também adquirir a Planilha Automática em Excel para o Cálculo da Armadura Transversal Mínima Vigas de Concreto Armado NBR 6118, e modificá-la da forma que desejar.
Se você trabalha com dimensionamento estrutural, sabe que o cálculo da armadura transversal mínima em vigas de concreto armado, conforme a ABNT NBR 6118, exige atenção aos detalhes e pode tomar tempo quando feito manualmente. Pensando nisso, desenvolvemos uma planilha automatizada em Excel + VBA que torna esse processo muito mais rápido, seguro e eficiente.
Com poucos dados de entrada, a planilha realiza automaticamente todas as verificações necessárias, aplicando corretamente as equações normativas e auxiliando na escolha do diâmetro e espaçamento dos estribos. É a solução ideal para quem busca produtividade sem abrir mão da precisão técnica.
Principais vantagens:
- Cálculo automático da armadura transversal mínima conforme a NBR 6118.
- Redução de erros com fórmulas já implementadas e testadas.
- Agilidade no dimensionamento - resultados em segundos.
- Sugestão prática de estribos e espaçamento.
- Interface simples e intuitiva, pronta para uso.
- Padronização dos projetos, aumentando a confiabilidade técnica.
- Ideal para engenheiros, projetistas e estudantes.
Além disso, por ser desenvolvida em Excel com VBA, a planilha permite automações inteligentes sem exigir softwares complexos ou conhecimentos avançados.
Invista em uma ferramenta que otimiza seu tempo, aumenta sua produtividade e eleva o nível dos seus projetos estruturais.

