Calculadora de Altura Útil d e d' da Viga
Calcular Altura Útil d e d' da Viga
Informe os parâmetros necessários abaixo.
Visualização
Observações sobre o Cálculo da Altura Útil de uma viga
A altura útil de uma viga, representada pela letra d, é um dos requisitos principais para o cálculo da armadura de vigas (e alguns outros elementos horizontais, como as lajes).
A Altura Útil da Viga é a altura que está trabalhando efetivamente. É a altura que vai da face mais comprimida (fibra superior) até o centro de gravidade da armadura principal (fibra inferior).
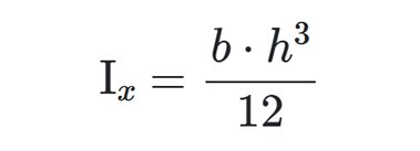
A fórmula da altura útil da viga para uma camada de armadura na parte inferior pode ser definida da seguinte forma:
\[d = h - c - \phi_t - \frac{\phi_s}{2} \]Onde:
h = altura da seção transversal em cm;
c = cobrimento do concreto em cm;
Øt = diâmetro nominal dos estribos em cm (na nossa calculadora você deverá inserir o valor em mm);
Øs = diâmetro nominal do aço longitudinal em cm (na nossa calculadora você deverá inserir o valor em mm).
Como o objetivo da altura útil da viga é ajudar no cálculo da armadura da viga, parece interessante o fato de termos, já de início, informar o diâmetro das barras da armadura principal e também das barras que compõem os estribos. Por estranho que pareça, é assim que o processo funciona mesmo.
Dessa forma, é comum informarmos o valor de 10mm (1cm) para o Øs e 5mm (0.5cm) para o Øt. No final do cálculo, se as diferenças forem muito grandes, nós voltamos, ajustamos os valores para os diâmetros dos estribos e das barras longitudinais e reiniciamos o processo.
Em relação ao cobrimento do concreto, em geral usamos o valor de 3cm para o concreto armado na Classe de Agressividade Ambiental II (NBR 6118:2014).
A fórmula da altura útil da viga para duas camadas de armaduras na parte inferior pode ser definida da seguinte forma:
\[d = h - c - \phi_t - \phi_s - \frac{{a}_v}{2} \]Onde:
h = altura da seção transversal em cm;
c = cobrimento do concreto em cm;
Øt = diâmetro nominal dos estribos em cm (na nossa calculadora você deverá inserir o valor em mm);
Øs = diâmetro nominal do aço longitudinal em cm (na nossa calculadora você deverá inserir o valor em mm);
av = 2cm ou o maior diâmetro das barras longitudinais ou 0,5 vezes dmax, que é o
.diâmetro máximo do agregado. No caso da Brita 1, o diâmetro é 19mm.
Adquira a Planilha Automática em Excel para o Cálculo da Altura Útil de uma viga de concreto armado
Além de poder usar de forma gratuíta a nossa Calculadora Online de Altura Útil d e d' da Viga, você pode também adquirir a Planilha Automática em Excel para o Cálculo da Altura Útil de uma viga de concreto armado, e modificá-la da forma que desejar. Usamos um código muito interessante em Excel VBA que te mostrará como acessar as células, linhas e colunas do Excel para a realização deste tipo de cálculo.
A utilização da nossa planilha automática no Excel para calcular a altura útil de uma viga de concreto armado traz diversas vantagens que impactam diretamente na produtividade, precisão e qualidade dos projetos estruturais.
Primeiramente, destaca-se a agilidade nos cálculos. Ao automatizar fórmulas e parâmetros, o engenheiro elimina a necessidade de refazer cálculos manualmente a cada alteração de dados, como dimensões da seção, cobrimento ou diâmetro das armaduras. Isso torna o processo muito mais rápido, especialmente em projetos com várias vigas.
Outro ponto importante é a redução de erros. Cálculos manuais estão sujeitos a falhas humanas, como erros de digitação ou aplicação incorreta de fórmulas. Com uma planilha bem estruturada, as equações já estão previamente validadas, garantindo maior confiabilidade nos resultados.
A planilha também proporciona padronização dos procedimentos, assegurando que todos os cálculos sigam os mesmos critérios e normas técnicas. Isso é fundamental em equipes de engenharia, onde diferentes profissionais podem trabalhar no mesmo projeto.
Além disso, há uma grande vantagem na facilidade de simulação e análise de cenários. É possível alterar rapidamente variáveis como altura da viga, cobrimento ou bitola das barras e observar instantaneamente os impactos na altura útil, auxiliando na tomada de decisão e otimização do dimensionamento.
Outro benefício relevante é a organização e rastreabilidade das informações. Todos os dados ficam registrados em um único arquivo, facilitando revisões, auditorias e futuras consultas.
Por fim, o uso do Excel permite uma customização conforme a necessidade do projeto, podendo incluir verificações adicionais, gráficos e alertas automáticos, tornando a ferramenta ainda mais poderosa.

