Calculadora de Módulo de Elasticidade Tangente Inicial do Concreto
Calcular Módulo de Elasticidade Tangente Inicial do Concreto
Informe os parâmetros necessários abaixo.
Fórmula do Módulo de Elasticidade Tangente Inicial do Concreto
A fórmula para o cálculo do Módulo de Elasticidade Tangente Inicial do Concreto pode ser definida como:
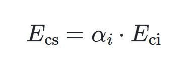
\[E_\text{ci} = \alpha_E \cdot 5600 \cdot \sqrt{f_\text{ck}} \]
Onde:
Eci = Módulo de elasticidade tangente inicial do concreto, em MPa;
αE = Tipo de agregado, de acordo com a tabela abaixo;
fck = FCK do concreto, em MPa.
Veja o valor de αE de acordo com o tipo de agregado utilizado na fabricação do concreto.
| Agregado | αE |
|---|---|
| Basalto e diabásio | 1,2 |
| Granito e gnaisse | 1,0 |
| Calcário | 0,9 |
| Arenito | 0,7 |
Sobre o Módulo de Elasticidade Tangente Inicial (ECI) do concreto
O módulo de elasticidade tangente inicial (ECI) do concreto é uma medida da rigidez do material sob tensão inicial, geralmente obtida por ensaio em laboratório. É calculado como a inclinação da curva tensão-deformação no ponto de origem, ou seja, a tangente inicial à curva. Este valor é importante para a análise estrutural, pois influencia a resposta do concreto a esforços, especialmente em situações de carregamento inicial.
Detalhes adicionais:
Definição:
O ECI é a razão entre a tensão aplicada e a deformação resultante no concreto, no início do processo de carregamento.
Determinação:
A NBR 8522, norma brasileira que trata da determinação dos módulos de elasticidade do concreto, estabelece que o ECI pode ser determinado por ensaio, onde um corpo de prova de concreto é submetido a carregamentos e descarregamentos sucessivos, medindo as deformações correspondentes.
Importância:
O ECI é um parâmetro fundamental na análise estrutural, pois influencia o comportamento do concreto em situações de carga inicial, como a resposta do concreto a esforços em vigas e pilares.
Relacionamento com o módulo dinâmico:
O módulo dinâmico do concreto, obtido por ensaios não destrutivos como ultra-som, pode ser uma alternativa para estimar o ECI, sendo que, em alguns casos, o módulo dinâmico é considerado aproximadamente igual ao ECI.
Valores:
Os valores medidos do ECI costumam variar entre 120% e 80% do valor especificado, dependendo da composição do concreto e do método de ensaio.
Em resumo, o módulo de elasticidade tangente inicial (ECI) é uma propriedade importante do concreto que reflete a sua rigidez inicial, sendo determinado por ensaio e utilizado em análises estruturais para prever o comportamento do concreto sob carregamento inicial.
Adquira a Planilha Automática em Excel para o cálculo do Módulo de Elasticidade Tangente Inicial do Concreto
Além de poder usar de forma gratuíta a nossa Calculadora Online de Cálculo do Módulo de Elasticidade Tangente Inicial do Concreto, você pode também adquirir a Planilha Automática em Excel para o Cálculo do Módulo de Elasticidade Tangente Inicial do Concreto, e modificá-la da forma que desejar.
Adquirir uma planilha automática do Excel para o cálculo do Módulo de Elasticidade Tangente Inicial do Concreto é um passo importante para quem busca precisão, agilidade e confiabilidade no desenvolvimento de projetos estruturais.
O cálculo desse parâmetro é fundamental para análises de deformações, deslocamentos e comportamento estrutural do concreto. Com uma planilha automatizada, o engenheiro consegue obter resultados de forma rápida e segura, sem a necessidade de realizar cálculos manuais repetitivos, reduzindo significativamente o risco de erros.
Outro grande benefício é a padronização dos cálculos conforme as normas técnicas, como a NBR 6118. A planilha já incorpora as equações e coeficientes normativos, garantindo que os resultados estejam sempre em conformidade com as exigências técnicas.
Além disso, a ferramenta permite simulações imediatas, possibilitando avaliar diferentes valores de resistência do concreto (fck) e observar o impacto direto no módulo de elasticidade. Isso facilita a tomada de decisões e a otimização do projeto.
A organização dos dados também é um diferencial: todas as informações ficam registradas de forma clara e estruturada, facilitando revisões, conferências e auditorias técnicas.
Outro ponto relevante é a economia de tempo e aumento de produtividade, permitindo que o profissional foque em análises mais estratégicas, em vez de tarefas operacionais.
Em um cenário onde eficiência e precisão são indispensáveis, contar com uma planilha automatizada não é apenas uma facilidade, mas uma ferramenta essencial.
Invista em tecnologia e leve mais qualidade, rapidez e segurança para seus projetos de engenharia!

