Planilha do Excel Resistência Média, Inferior e Superior à Tração do Concreto

Adquira a Planilha Automática em Excel para o cálculo da Resistência Média, Inferior e Superior à Tração do Concreto

Além de poder usar de forma gratuíta a nossa Calculadora Online de Cálculo da Resistência Média, Inferior e Superior à Tração do Concreto, você pode também adquirir a Planilha Automática em Excel para o Cálculo da Resistência Média, Inferior e Superior à Tração do Concreto, e modificá-la da forma que desejar.

Se você quer elevar o nível dos seus projetos estruturais com mais segurança e precisão, chegou a hora de contar com uma ferramenta que trabalha ao seu lado: a nossa planilha automática em Excel para o cálculo da Resistência Média, Inferior e Superior à Tração do Concreto.

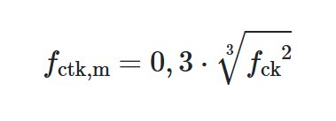
Esses parâmetros são fundamentais para o correto dimensionamento de elementos estruturais, influenciando diretamente na verificação de fissuração, aderência e comportamento do concreto. Com a nossa planilha, você obtém esses valores de forma rápida, confiável e totalmente alinhada às normas técnicas, eliminando cálculos manuais e reduzindo significativamente a chance de erros.

Além disso, a ferramenta foi pensada para o seu dia a dia: basta inserir os dados básicos, como o fck, e a planilha realiza automaticamente todos os cálculos necessários, entregando resultados claros e organizados. Isso significa mais produtividade, mais tempo para análises estratégicas e menos retrabalho.

Outro grande diferencial é a possibilidade de simular diferentes cenários em poucos segundos, permitindo comparar resultados e tomar decisões mais assertivas no projeto.

Profissionais que utilizam ferramentas inteligentes saem na frente - com mais eficiência, padronização e qualidade técnica.

Adquira agora a sua planilha e leve mais confiabilidade, agilidade e profissionalismo para seus projetos de engenharia!

Adquira esta planilha automática em Excel por apenas R$ 9,50 e nos ajude a manter o site.

Pagamento via PIX e envio na mesma hora, com suporte 24 horas. Mais informações no WhatsApp +55 62 9 8513-2505